





"苏丹红"是一种化学染色剂,并非食品添加剂。它的化学成份中含有一种叫萘的化合物,该物质具有偶氮结构,由于这种化学结构的性质决定了它具有致癌性,对人体的肝肾器官具有明显的毒性作用。苏丹红属于化工染色剂,主要是用于石油、机油和其他的一些工业溶剂中,目的是使其增色,也用于鞋、地板等的增光。 又名"苏丹"。

苏丹红学名苏丹(Sudan),共分为苏丹红I、苏丹红Ⅱ、苏丹红Ⅲ和苏丹红Ⅳ。
苏丹红为亲脂性偶氮染料,主要用于油彩、机油、蜡和鞋油等产品的染色。由于用苏丹红染色后的食品颜色非常鲜艳且不易褪色,能引起人们强烈的食欲,一些不法食品企业把苏丹红添加到食品中。常见的添加苏丹红的食品有辣椒粉、辣椒油、红豆腐,红心禽蛋等。
状态:黄或红色粉末。
熔点:134℃
溶解性:不溶于水,微溶于乙醇,易溶于油脂、矿物油、丙酮和苯。乙醇溶液呈紫红色,在浓硫酸中呈品红色,稀释后成橙色沉淀。
用途:苏丹红是一种人工合成的红色染料,常作为一种工业染料,被广泛用于如溶剂、油、蜡、汽油的增色以及鞋、地板等增光方面。
苏丹红为亲脂性偶氮化合物,主要包括Ⅰ、Ⅱ、Ⅲ和Ⅳ四种类型。其共同基本单元为2-萘酚、偶氮基和苯环,且偶氮基连接于2-萘酚基团的1号碳位上。
苏丹红I(Sudan I):1-苯基偶氮-2-萘酚(1-phenylazo-2-naphthalenol),分子结构式为C6H5N=NC10H6OH,分子量248.28。
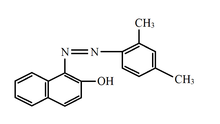
苏丹红II(Sudan II)化学名称为1-[(2,4-二甲基苯)偶氮]-2-萘酚(1-[(2,4-dimethylphenyl)azo]-2-naphthalenol)。
苏丹红III(Sudan III)化学名称为1-[4-(苯基偶氮)苯基]偶氮-2-萘酚(1-[4-(phenylazo)phenyl]azo]-2-naphthalenol)。
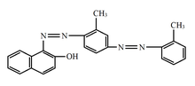
苏丹红IV(SudanIV)化学名称1-{2-甲基-4-[(2-甲基苯)偶氮]苯基}偶氮-2-萘酚(1-2-methyl-4-[(2-methylphenyl)azo]phenylazo]-2-naphthalenol)。
苏丹红I结构简式
苏丹红II结构简式
苏丹红III结构简式
苏丹红IV结构简式
苏丹红类物质含有氮氮双键(偶氮基),即结构式中的-N=N-,与连接在其两端的苯环一起构成发色基团。偶氮基与芳香结构构成的偶氮苯大共轭体系能够吸收一定波长的可见光,故含有偶氮苯体系的物质能显现出一定的颜色。
偶氮键吸收光子后产生两种跃迁形式:双键中的π-π*跃迁(Zui大吸收波长 318 nm)与孤对电子与π键共同作用的n-π跃迁(能量差较前者低,Zui大吸收波长 443 nm)。由于斥电子基团的作用,电子云密度向偶氮基转移,出现新的吸收,进而能够呈现不同的色泽。由于可见光的波长范围是380 nm ~ 780 nm,偶氮染料几乎能呈现各种颜色。
苏丹红分子中的苯环、萘环、酚羟基以及甲基均属于斥电子基团,致使电子密度向偶氮基转移更大,吸收的光波也就更长,颜色也就偏橙红色。
偶氮基为双键,故偶氮染料具有一定的氧化性,能够发生加成反应进而被还原为无色胺类物质。苏丹红的还原产物为苯胺类和萘胺类物质,对动物体有致癌作用。
进入体内的苏丹红主要通过胃肠道微生物还原酶、肝和肝外组织微粒体和细胞质的还原酶进行代谢,在体内代谢成相应的胺类物质。在多项体外致突变试验和动物致癌试验中发现苏丹红的致突变性和致癌性与代谢生成的胺类物质有关。苏丹红I在体内可以被还原代谢为初级产物苯胺(aniline)和1-氨基-2-萘酚(1-amino-2-naphthol)。苏丹红II在体内代谢可产生二甲基苯胺(2,4-xylidine)和1-氨基-2萘酚。苏丹红III在体内代谢可产生4-氨基偶氮苯(4-aminoazobenzene)、1-氨基-2萘酚、苯胺、对苯二胺(p-phenylenediamine)和1-4氨基-苯基偶氮-2萘酚[1-(4-aminophenyl)azo]-2-naphthol]。苏丹红IV在体内代谢可产生邻-氨基偶氮甲苯(ortho-aminoazotoluene)、4-氨基-2-甲苯基偶氮-2-萘酚[1-(4-amino-2-methylphenyl)azo]-2-naphthol]、2,5-二氨基甲苯(2,5-diaminotoluene)、1-氨基-2萘酚和邻-甲苯胺(ortho-toluidine)。
| 成立日期 | 2020年03月30日 | ||
| 法定代表人 | 刘静然 | ||
| 注册资本 | 50 | ||
| 主营产品 | 环氧油漆、丙烯酸油漆、醇酸油漆、聚酯油漆、聚氨酯油漆、硝基油漆、氟碳漆、乳胶漆、船舶油漆、汽车油漆、钢结构防腐漆、金属漆、木器漆、彩钢瓦油漆、UV油漆、防污漆、地坪漆、PU清漆等各种过期库存废旧油漆,锐钛型钛白粉、金红石型钛白粉、美国杜邦钛白粉、龙蟒钛白粉各种型号等.氯化石蜡、微晶石蜡、液体石蜡、半精炼石蜡、全精炼石蜡、特种蜡、聚乙烯蜡、巴西棕榈蜡、蒙旦蜡、EVA蜡、蜡粉、蜂蜡、橡胶防护蜡、南非沙索蜡、AKD蜡、蜡烛原料、大豆蜡等。聚四氟乙烯、DCP、三氧化二锑、三盐、二盐、润滑剂、稳定剂、加工助剂、增塑剂、增韧剂DOP、成核剂、荧光增白剂、抗氧剂、紫外光吸收剂、抗静电剂、开口剂、 稀释剂、 发泡剂、阻燃剂、橡胶促进剂、橡胶防老剂、氧化锌、十溴二苯醚、十溴联苯醚、十溴二苯乙烷、聚醚、聚醚多元醇、聚氨酯组合料、聚氨酯AB料、、聚氨酯黑白料、MDI、TDI、异氰酸酯、多异氰酸酯、新戊二醇、聚乙二醇、瓜尔胶、黄原胶、卡拉胶、果胶、苹果酸、双酚A、单宁酸、H酸、月桂酸、富马酸、水杨酸、酒石酸、甘露醇、柠檬酸、木糖醇、十八十六醇 | ||
| 经营范围 | 染料、颜料、色粉、香精、水性涂料、树脂、橡胶制品、油墨、塑料制品、石蜡、皮革制品销售;再生资源回收及批发(依法须经批准的项目,经相关部门批准后方可开展经营活动) | ||
| 公司简介 | 常年回收及供应各类化工原料产品:1、染料类:还原染料、分散染料、酸性染料、直接染料、活性染料、阳离子染料、碱性染料、弱酸染料、硫化染料、中性染料、皮革染料、皮毛染料等各种国产进口染化料。2、颜料类:酞青蓝、酞青绿、大红粉、立索尔大红、永固颜料、黄丹、红丹、氧化铁黄、氧化铁红、中铬黄、柠檬黄、联苯胺黄、透明颜料、荧光颜料、橡胶大红、金光红、甲苯胺红、钼铬红黄、油溶红、群青、色粉、色酚、色基、色淀、色 ... | ||









